Return to GeoComputation 99 Index

An object-oriented framework for distributed hydrologic and geomorphic modeling using triangulated irregular networks

Greg Tucker, Nicole Gasparini, Rafael Bras, and Scott Rybarczyk
Massachusetts Institute of Technology, Department of Civil and Environmental Engineering, Building 48, Room 429, Cambridge, MA 02139 U.S.A.
E-Mail: gtucker@mit.edu

Stephen Lancaster
Oregon State University, Department of Geosciences, Forest Sciences Laboratory, 3200 SW Jefferson Way, Corvallis, OR 97331 U.S.A.

1. Introduction

Continuing advances in computing technology have made terrain-based modeling an attractive approach for numerous geologic and hydrologic applications. Distributed modeling of processes occuring on or near a topographic surface has been widely used, for example, in watershed hydrology (e.g., Garrote and Bras, 1995; Jackson et al., 1996; Julien et al., 1995), landscape evolution (e.g., Willgoose et al., 1991; Howard, 1994; Johnson and Beaumont, 1995; Tucker and Slingerland, 1997; Tucker and Bras, 1998), soil erosion (e.g., Mitas and Mitasova, 1998; Lafler et al., 1997), slope stability analysis (e.g., Montgomery and Dietrich, 1994), and volcanology (e.g., Miyamoto and Sasaki, 1997), among other applications. Although the nature of these models ranges from real-time prediction of runoff in actual drainage basins (e.g., Garrote and Bras, 1995) to hypothetical simulation of mountain range evolution over millions of years (e.g., Tucker and Slingerland, 1996), all of them share the common theme of simulating flow - whether of water, sediment, or magma - across (or near) a topographic surface. The need to model flow over terrain gives rise to three common elements among these otherwise disparate models: (1) division of a terrain surface into a set of discrete, connected elements, (2) application of continuity of mass within each terrain element, and (3) definition flow pathways and networks across this discretized terrain surface.

A number of different strategies have been used for terrain discretization, including regular grids, triangulated irregular networks (TINs), sub-watersheds, contour elements (e.g., Moore et al., 1988), and hillslope partitions (e.g., Band, 1989). Among these, only regular grids and TINs are well suited for simulating the dynamics of surface change. The simplicity of regular grids and the increasing availability of grid-based digital elevation models (DEMs) have made fixed grids the framework of choice in most hydrologic models and nearly all geomorphic models. However, grid-based discretization schemes suffer from a number of distinct disadvantages: (1) landform elements must be represented at a constant spatial resolution, which in practice means the highest resolution required by any feature or process of interest; (2) drainage directions are restricted to 45-degree increments (though for watershed-scale applications, this limitation may be reduced by using multiple-flow algorithms, e.g., Freeman, 1991; Quinn et al., 1991; Costa-Cabral and Burgess, 1994; Tarboton, 1997); (3) under certain circumstances, use of a regular grid introduces anisotropy that can lead to bias in simulated drainage network patterns (Braun and Sambridge, 1997); and (4) use of a fixed grid makes it difficult or impossible to model geologic processes that have a significant horizontal component, such as stream meandering or fault displacement.

The last of these constraints is especially significant in the context of geological models. Although we conventially speak of "uplift," most crustal deformation processes involve a significant amount of horizontal translation. Previous coupled models have either incorporated only the vertical component of deformation (e.g., Tucker and Slingerland, 1996; Kooi and Beaumont, 1996) or have represented lateral translation by simply offsetting two fixed grids (e.g., Anderson, 1994). Coupled models of deformation, erosion, and sedimentation promise to yield important insights into such issues as the relationship between tectonic behavior and the stratigraphic record, but such models ultimately require the ability to model deformation in three dimensions. Similarly, erosional processes often have a significant horizontal component that is neglected in current models. One of the most important horizontal erosion processes is lateral stream erosion, which by widening a valley can signicantly alter the depositional geometry within a floodplain over geologic time.

These and other disadvantages have motivated the development of terrain models based on TINs, which allow for variable spatial resolution, lend themselves naturally to interpolation procedures (e.g., Sambridge et al., 1995), and make dynamic rediscretization a real possibility (e.g., Braun and Sambridge, 1997; Lancaster, 1998; Lancaster et al., in prep). Despite these advantages, however, use of TIN-based dynamic models has not been widespread, in part because of the increased complexity of data structures and algorithm development in a TIN framework. In this paper, we present an efficient set of data structures and algorithms for TIN-based modeling using the Delaunay triangulation criterion. These data structures and algorithms take advantage of the unique capabilities of object-oriented programming languages such as C++ to provide a general framework for (1) storing and rapidly accessing information about mesh connectivity, (2) constructing and updating mesh geometry, (3) computing mass fluxes and maintaining continuity of mass within mesh elements using a finite-difference approach, and (4) establishing drainage pathways across the terrain surface. We present example applications and briefly discuss the use of adaptive meshing to simulate lateral stream channel migration.

2. Delaunay triangulation and voronoi diagrams

A number of methods for triangulating a set of irregularly-spaced points have been proposed. Here, we focus on the commonly used Delaunay triangulation, which offers a number of distinct advantages over other tesselation schemes (Watson and Philip, 1984). Delaunay triangulations and their corresponding Voronoi diagrams are well established in the field of computational geometry (e.g., Guibas and Stolfi, 1985; Sloan, 1987; Knuth, 1992; Sugihara and Iri, 1994; Sambridge et al., 1995; Du, 1996). The Delaunay triangulation of a set of points Ni is a unique triangulation having the property that a circle passing through the three points of any triangle will encompass no other points. A Delaunay triangulation therefore minimizes the maximum interior angles, providing the most "equable" triangulation of a given set of points. From any Delaunay triangulation it is also possible to construct a unique corresponding Voronoi (or Thiessen) diagram, which is the set of polygons formed by connecting the perpendicular bisectors of the triangles (Figure 1). Although Voronoi polygons have been ignored in most TIN-based models, they have the advantage of providing a natural framework for finite-difference modeling.

3. Mesh elements and data structures

A simulated terrain using a triangular discretization is shown in Figure 2. As with Braun and Sambridge (1997), the model in this example uses a finite-difference rather than a finite-element approach, in which state variables such as elevation and water flow are computed at the nodes rather than within the triangles. The data structure developed below is thus designed with finite-difference modeling in mind, though in principle it could be easily applied to finite-element applications. The terrain is represented by a set of nodes N that are connected to form a mesh of triangles using the Delaunay triangulation of N. Each node Ni is associated with a Voronoi polygon of area (Figure 1). The Voronoi polygon for a node Ni is the region within which any arbitrary point Q would be closer to Ni than to any other node on the mesh. The boundaries between Voronoi polygons are lines of equal distance between adjacent nodes, and coincide with the perpendicular bisectors of the triangle edges. The vertices of the Voronoi polygons (here termed Voronoi vertices) coincide with the circumcenters of the triangles; in general, each triangle is associated with one and only one Voronoi vertex.

Unlike regular matrices, in which each node is connected to either four or eight adjacent neighbors, the number of neighbors connected to a given node in a Delaunay triangulation may in theory be arbitrarily large. Ideally, a data structure should represent this variable connectivity in a way that (1) provides rapid access to adjacent mesh elements without demanding excessive storage space, and (2) is flexible enough to handle dynamic changes in the mesh itself. For dynamic modeling applications, an additional requirement is the need to maximize computational speed. These requirements are satisfied through the use of the following data structure. The "Dual Edge" structure is adapted from the Quad Edge data structure of Guibas and Stolfi (1985), and consists of three geometric elements: nodes, triangles, and directed edges. The data structure is summarized in pseudo-code form in Figure 3.

3.1 Directed Edges

Each triangle edge is associated with two directed edges, which share the same endpoints but "point" in opposite directions (Figure 1). A directed edge is defined by its origin and destination nodes; two directed edges that share the same endpoints are termed complementary edges. Each directed edge data object includes a pointer to its origin node, a pointer to its destination node, and a pointer to the directed edge that lies immediately counter-clockwise relative to its origin node (Figures 3, 4 and Table 1). (Here, we use the term pointer to refer to any reference to another data object, whether implemented as a memory address, an array index, or by some other means). Including a pointer to the counter-clockwise edge makes it possible to rapidly access all of the edges and neighboring nodes connected to any given node.

Each directed edge data object also includes the coordinates of the Voronoi vertex associated with the triangle on its right-hand side (clockwise) (Figure 1). Pseudo-code for the DirectedEdge data structure is given in Figure 3, and an example list of edges for a simple mesh is given in Table 1. Complementary directed edges are stored pairwise on the list (Table 1), which makes it possible to quickly retrieve the complement of any given edge. In addition, certain operations such as length and slope calculation only need to be performed for one member of each edge pair, with the result simply assigned to the other. Storing directed edges pairwise makes it possible to do this easily by skipping every other edge on the list. In addition to topologic information, a directed edge object might include geometric properties such length, gradient, and the length of the associated Voronoi polygon edge (or Voronoi edge).

3.2 Nodes

Each node data object includes x, y, z coordinates, the number of neighboring nodes, and a pointer to one of its directed edges (that is, one of the directed edges which originates at the node, here referred to as a spoke of that node) (Figures 3, 4 and Table 2). Note that a pointer to a single spoke is all that is needed to fully describe the connectivity among nodes. Because each spoke points to its counter-clockwise neighbor, a list of spokes and neighboring nodes can easily be constructed for any node using the algorithms described below.

For finite-difference applications, a node object can also include geometric information such as the projected surface area of its Voronoi polygon (Voronoi area) and a flag indicating whether it lies on the boundary or interior of the mesh. An important advantage of an object-oriented programming language in this regard is that basic topologic and geometric data and functions can be encapsulated within a base class, with application-specific data and functions added as part of an inherited class. This technique is exploited in the examples discussed below.

3.3 Triangles

Triangle data objects include pointers to the three nodes in the triangle, the three neighboring triangles, and the three directed edges that are oriented clockwise with respect to the triangle. The nodes and neighboring triangles are numbered in such a way that the nth neighboring triangle lies opposite the nth vertex (Figure 5). Each triangle is associated with a Voronoi vertex, which represents the intersection of the three Voronoi polygons belonging to the triangle's three nodes (Figure 4). Here, the coordinates of Voronoi vertices are stored within directed edge objects rather than with triangles. This represents a time-for-space tradeoff: by storing each Voronoi vertex three times (one for each clockwise edge) it becomes possible to quickly recalculate Voronoi polygon geometry in response to node addition, deletion or movement. The list of triangles for a simple example mesh is given in Table 3. Depending on the application, additional geometric data for triangles might include projected area, gradient, and gradient vector (cf. Palacios and Cuevas, 1986).

3.4 Establishing and updating node connectivity

A list of spokes or neighboring nodes can be easily obtained using the following algorithm, here presented in Pascal-like pseudo-code:
Node neighborList(1..thenode.nnbrs)
Edge spokeList(1..thenode.nnbrs)
current_edge := thenode.edg
FOR i:=1,thenode.nnbrs DO
neighborList(i) := current_edge.dest
spokeList(i) := current_edge
current_edge := current_edge.ccwedg
END

Generally, neighbor node and spoke list retrieval would be handled separately; they are grouped here for simplicity. Note that creating a list (as opposed to simply performing operations on each spoke in turn) is usually not necessary, though it may be convenient for performance reasons. The same basic algorithm can be used to sweep through each neighbor node to perform any operation.

3.5 Updating Voronoi geometry

Once a Delaunay triangulation has been established or updated, the associated Voronoi geometry can be updated in a straightforward way. The first step consists of updating and storing the Voronoi vertex coordinates, which can be done by sweeping through the list of triangles as follows:
FOR each triangle tri DO
Find coordinates of triangle circumcenter
FOR i:=0,2 DO
tri.e(i).vvertex_x := x-coordinate of circumcenter
tri.e(i).vvertex_y := y-coordinate of circumcenter
END
END
Note that for triangles with a large aspect ratio, computing the triangle circumcenter can be subject to numerical errors. These errors and strategies for overcoming them are discussed by Sugihara and Iri (1994).

Once the Voronoi vertex coordinates have been stored, the Voronoi polygon for a given node can be retrieved using the following simple algorithm:

FOR each node node DO
XYPoint voronoi_poly(1..node.nnbrs)
current_edge := node.edg
FOR i:=1,node.nnbrs DO
voronoi_poly(i).x := current_edg.vvertex_x
voronoi_poly(i).y := current_edg.vvertex_y
END
/* use voronoi_poly to calculate Voronoi area */
END
It is also often useful to know the length of a Voronoi polygon edge, which represents the interface between two neighboring nodes. The width of this interface can be used in numerical solutions to diffusion-like transport equations, as discussed below. In general, each triangle edge is matched by a single Voronoi polygon edge (Guibas and Stolfi, 1985) (Figures 1 and 4). Voronoi edge lengths are updated using the following algorithm, which exploits the fact that edges are stored pairwise on the list (note that this is a projected length). The algorithm combines updating of Voronoi edge lengths, triangle edge lengths, and triangle edge slopes:
FOR i:=1,3,5,...nedges-1 DO
dx := edg(i).rvpt.x - edg(i).ccwedg.rvpt.x
dy := edg(i).rvpt.y - edg(i).ccwedg.rvpt.y
edg(i).vedglen := sqrt( dx*dx + dy*dy )
edg(i+1).vedglen := edg(i).vedglen
dx := edg(i).org.x - edg(i).dest.x
dy := edg(i).org.y - edg(i).dest.y
edg(i).length := sqrt( dx*dx + dy*dy )
edg(i+1).length := edg(i).length
edg(i).slope:=(edg(i).org.z-edg(i).dest.z)/edg(i).length
edg(i+1).slope := -edg(i).slope
END
Here, the endpoints of the Voronoi polygon edge are (1) the "right-hand" Voronoi vertex of the directed edge and (2) the "right-hand" vertex of the directed edge's counter-clockwise neighbor. Note that once again a time-for-space tradeoff is involved: edge length, slope, and Voronoi edge length are stored in each member of a complementary edge pair, providing efficient access at the expense of extra storage.

4. Drainage networks and flow routing on a triangulated irregular mesh

An important component of hydrologic and geomorphic models is the routing of surface flow across a terrain surface. Algorithms for flow routing across a regular-grid DEM are well established and are generally fairly straightforward (e.g., Jenson and Domingue, 1988). The irregular geometry of a TIN surface presents some additional challenges. A number of TIN-based drainage algorithms have been developed for hydrologic modeling (Palacios and Cuevas, 1986; Gandoy and Palacios, 1990; Jones et al., 1990; Nelson et al., 1994). Most of these schemes are "triangle-based" in the sense that they define flow pathways both across and between triangles, using linear interpolation to approximate the terrain surface gradient within each triangle. Algorithms that use this approach are able to precisely delineate a steepest-descent pathway starting from any arbitrary point on the surface and, unlike most grid-based methods, they do not limit drainage directions to 45 degree increments. However, a notable disadvantage of triangle-based methods is that they are forced to handle flow across and between triangles separately. The most common method for drainage network delineation in TIN-based terrain data consists of finding locations where adjacent triangles slope downward toward their shared edge (e.g., Palacios and Cuevas, 1986; Jones et al., 1990). However, this criterion for channel identification turns out to be somewhat arbitrary, for two reasons. First, it does not account for the physical mechanisms or morphological signatures of channel initiation (e.g., Montgomery and Dietrich, 1989; Dietrich and Dunne, 1993). Second, it is sensitive to inaccuracies in either the data or the linear interpolation: even a slight convexity between adjacent triangles will always be flagged as a "channel", while a flat or weakly convex surface (such as a portion of a floodplain surface) will always be flagged as a "hillslope."

Here, we describe a simple "Voronoi-based" approach to routing that avoids these problems, though at the expense of added simplicity. Following Braun and Sambridge (1997), flow originating at any point within a node's Voronoi polygon is routed downslope along the steepest of the spokes connected to that node (Figure 6). By this method, the contributing area at node i is equal to the sum of the Voronoi areas of all nodes that flow to i (including i itself). An advantage of this approach is that it lends itself to finite-difference modeling, because each node has a unique watershed and drainage direction assigned to it. The primary disadvantages are: (1) drainage basin boundaries are defined by Voronoi polygons rather than by triangles, and (2) flow pathways and gradients are forced to follow triangle edges. The second limitation could be eliminated by adopting a more general flow routing procedure (e.g., Tarboton, 1997), though such an extension is beyond the scope of this paper.

To identify flow directions, the steepest spoke at each node is identified and a pointer to it is stored in node.flowedg (Figure 3). The total contributing area for each node can then be found using the following algorithm:

Reset all drainage areas to zero
FOR each node sourceNode DO
currentNode := sourceNode
srcArea := source node's Voronoi area
WHILE currentNode is neither a boundary nor a pit DO
currentNode.drarea := currentNode.drarea + srcArea
currentNode := currentNode.flowedg.dest
The Stream Trace algorithm can also be used to compute accumulated flow at any point, if steady state flow is assumed.

4.1 Resolving drainage from closed depressions

Digital elevation data, whether grid- or TIN-based, typically contain "pits" (closed depressions) which usually arise from errors in the data, poor data resolution, or both. Various methods have been developed to remove pits from grid-based terrain data prior to hydrologic analysis (e.g., Jenson and Domingue, 1988). Pits can also form in dynamic landscape models, either as the result of arbitrary initial conditions or in response to simulated surface deformation (e.g., Howard, 1994; Tucker and Slingerland, 1996; Braun and Sambridge, 1997). Below, we outline an algorithm for identifying flooded regions - depressions in which surface water would tend to pond - and resolving outlets from those regions. Unlike the commonly-used "pit filling" procedure described by Jenson and Domingue (1988), the algorithm does not alter the underlying topography. It is capable of identifying clusters of nodes that form lakes, and therefore has potential application for environmental modeling in regions in which lakes are common (e.g., Mackay and Band, 1998).

During the process of identifying flow directions, any node lacking a downhill pathway is flagged as a pit. Once all pits have been identified, the FillLakes algorithm (Appendix A) is invoked for each one. The algorithm begins by creating a list of flooded nodes, which initiatially contains only the starting pit. The lowest node on the perimeter of the flooded area ("lake") is identified, and is tested to see whether it can drain downslope toward a node that is not already on the list. If there is no drainage outlet, this "low node" is added to the list of flooded nodes and the process repeats, continuing until an outlet is found. If a node is encountered that is part of separate lake (i.e., one identified during a previous iteration), it is also added to the list (in other words, initially separate lakes can merge).

Once an outlet has been identified, all of the nodes on the list are flagged as lake nodes, indicating, for example, that they should be handled separately in computing runoff and sediment routing. To maintain the continuity of drainage networks, flow directions for lake nodes can be resolved by iteratively tracing a flow path upstream from the lake outlet, seeking the shortest path to the outlet for each node (Appendix B). Once flow directions have been resolved, the lake list is cleared and the next pit is processed.

An example of a lake computed using the Lake Fill algorithm is shown in Figure 7. The algorithm is robust enough to handle any arbitrary initial condition, and is useful for modeling natural or artificial reservoirs or, in geological applications, for modeling rising baselevel.

4.2 Ordering nodes by network position

It is often necessary to sort nodes in upstream-to-downstream order (or the reverse) before solving water or sediment routing equations. This is the case, for example, in kinematic-wave runoff models (e.g., Gandoy and Palacios, 1990) and in many landscape evolution models (e.g., Slingerland et al., 1993; Tucker and Slingerland, 1994; Braun and Sambridge, 1997). Gandoy and Palacios (1990) describe an ordering method for triangle-based flow routing schemes. In the examples presented later, node ordering is performed using the "cascade" algorithm of Braun and Sambridge (1997), which is efficient and can be easily generalized to handle multiple flow pathways.

5. Numerical algorithms

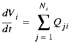
For problems involving continuity of mass calculations (which includes most geologic and hydrologic models), mass continuity at each node can be applied by treating each Voronoi polygon as a finite-difference cell. In general, the continuity of mass equation for a Voronoi finite-difference cell may be written

, (EQ 1)

where Vi represents volume or mass stored at node i, Ni is the number of neighbor nodes connected to node i, and Qji is the total flux from node j to node i (negative if the net flux is from i to j). Numerical implementation of equation (1), however, depends on how the flux terms are defined.

5.1 One-dimensional network transport

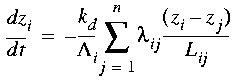
Transport of water and sediment within drainage networks is often modeled as a quasi-one-dimensional problem, with the network essentially treated as a cascade of one-dimensional stream segments. In modeling landscape evolution, an equation for dynamic changes in surface elevation due to fluvial erosion or deposition can be written as

, (EQ 2)

where zi is the elevation at node i, t is time, n is the number of nodes that flow directly to i, Qs is sediment flux, n is sediment porosity, and /\i is the Voronoi area of node i (Braun and Sambridge, 1997; Tucker et al., 1997). The system of ordinary differential equations described by equation (2) can be solved using simple forward differencing, via matrix methods, or by any similar scheme. Solving equation (2) in upstream-to-downstream order ensures that the total incoming sediment flux at any point is always known.

5.2 Two-dimensional diffusive transport

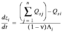
Diffusive transport processes typically require a fully two-dimensional solution and must therefore be handled in a different manner. Examples of such quasi-diffusive processes include groundwater flow, hillslope sediment transport, and lava flow. In modeling 2D mass transport on an irregular finite-difference mesh, the width of the interface between adjacent nodes must be known in order to compute the total mass exchange. Consider, for example, sediment transport by hillslope processes such as soil creep, which is commonly modeled as a linear (e.g., Culling, 1960) or nonlinear (e.g., Howard, 1994) function of surface gradient. In its linear form, sediment transport per unit contour width, qs, is given by

, (EQ 3)

where kd is a diffusivity constant and x' is a vector orientated in the downslope direction. To solve this equation in a TIN framework, the slope width between two adjacent nodes can be approximated by the width of their shared Voronoi cell edge, lij (Figure 8). Combining this with continuity of mass (equation (1)), the rate of elevation change at a node due to diffusive transport is approximated numerically by

, (EQ 4)

where n is the number of nodes adjacent to node i, Lij is the length of the triangle edge connecting nodes i and j, and lij is the width of the shared Voronoi cell edge between nodes i and j. In the CHILD model (Tucker et al., 1997), this system of equations is solved using a simple forward-difference method with an adaptive time-stepping scheme. Note that because diffusive mass exchange takes place along triangle edges, the equation can be solved efficiently by first computing the mass exchange along each physical edge (or equivalently, across each Voronoi polygon face), then updating the node elevations accordingly. This numerical algorithm performs well when compared with analytical solutions (Figure 9).

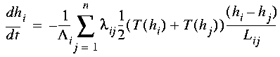
Similarly, 2D groundwater flow can be approximated numerically using an expression of the following form:

, (EQ 5)

where hi is the groundwater table elevation at node i and T(hi) is transmissivity (in this example, transmissivity is assumed to vary with water table height, with the average transmissivity between nodes i and j used to compute the flux between them). Figure 10 compares the equilibrium water table height as computed from a simplified version of equation (5) with an analytical solution, assuming a simple linear hillslope geometry.

6. Examples

We have applied these data structures and algorithms in a simulation models of long-term landscape evolution (Tucker et al., 1997 and in prep.) and of catchment rainfall-runoff. Figure 11 shows a simulated drainage basin responding to a period of rapid baselevel lowering. Basin evolution is driven by a sequence of randomly generated storms, with fluvial erosion and sediment transport modeled on the basis of slope and total discharge at each point.

Figure 12 illustrates a hydrologic application of the same concepts. The figure shows simulated depth to the water table in a small catchment in Kansas in response to spatially uniform recharge. Water table depth at each point is computed using eq (5), assuming an expontial decrease in saturated hydraulic conductivity with depth. In both of these examples, the TIN framework is implemented in C++, with each data element (nodes, triangles, and directed edges) encapsulated within a single class. The hydrologic model and the landscape evolution model (Figure 11) use the same code for mesh handling and drainage network delineation, which highlights the advantages of a modular, object-oriented approach in terms of code reusability.

The data structures and algorithms we have outlined are also well suited to applications involving dynamic remeshing in response to changing surface morphology. Figure 13 illustrates output from a model that combines vertical erosion/deposition with lateral erosion associated with river meandering. Such adaptive remeshing strategies make it possible to explore a range of geologic problems that were heretofore inaccessible to modeling, such as horizontal tectonic deformation. The adaptive meshing strategy is discussed further by Lancaster (1998) and Lancaster et al. (in prep).

7. Summary and conclusions

We have presented a set of data structures and associated algorithms that facilitate TIN-based terrain modeling, with an emphasis on geologic and hydrologic applications. The framework is particularly well suited to applications involving dynamic changes in surface morphology and, more generally, to applications in which nodes (as opposed to triangles) are used as the basic computational elements. The data structure provides an efficient means of storing both a Delaunay triangulation and its corresponding Voronoi diagram. By using Voronoi polygons rather than triangles as the computational elements, the problem of distinguishing between flow within and between triangles is avoided. Voronoi polygons also provide a natural basis for solving diffusion-like equations numerically, using Voronoi polygon edges to approximation the effective contour width between each pair of adjacent nodes.

The data structure also simplifies bookkeeping. Each node points to a single directed edge (or spoke), which then points to its counterclockwise neighbor, thus fully describing the connectivity between nodes and triangle edges. The data structure also contains sufficient information to provide a complete representation of Voronoi geometry.

Based on this framework, we describe a simple flow-routing method. The algorithm is analogous to the most commonly used grid-based flow routing method, and does not account for flow divergence on convex landscape elements (but could easily be generalized to do so). We also present a new algorithm for identifying closed depressions within a drainage basin, and resolving drainage for those depressions without altering the topography.

The Dual Edge data structure is object-oriented in the sense that data associated with each of the three mesh elements (nodes, triangles, and directed edges) are grouped together within three data classes. While in principle this data structure could be represented using traditional procedural programming (for example, as a series of arrays), an object-oriented implementation offers several advantages. By grouping together data and functionality for each terrain element, it becomes possible to isolate the mesh implementation from the calculations that are performed on the mesh. This type of strategy enhances modularity and portability, and has the potential to reduce software development time. Furthermore, the inheritance capabilities of object-oriented programming languages such as C++ make it possible for different applications to inherit the same basic TIN functionality while adding application-specific capabilities as needed.

Acknowledgements

This work was supported by the U.S. Army Corps of Engineers Construction Engineering Research Center (DACA88-95-R-0020), by the Army Research Office (DAAH04-95-1-0181), and by the National Aeronautics and Space Administration. R.L.T.'s grandfather graciously pointed us toward relevant computational geometry literature.

References

Anderson, R.S., 1994, Evolution of the Santa Cruz Mountains, California, through tectonic growth and geomorphic decay: Journal of Geophysical Research, v. 99, p. 20,161-20,179.

Band, L.E., 1989, Spatial aggregation of complex terrain: Geographical Analysis, v. 21, p. 279-293.

Braun, J., and Sambridge, M., 1997, Modelling landscape evolution on geological time scales: a new method based on irregular spatial discretization: Basin Research, v. 9, p. 27-52.

Costa-Cabral, M., and Burges, S.J., 1994, Digital Elevation Model Networks (DEMON): a model of flow over hillslopes for computation of contributing and dispersal areas: Water Resources Research, v. 30, no. 6, p. 1681-1692.

Culling, W.E.H., 1960, Analytical theory of erosion: Journal of Geology, v. 68, p. 336-344.

Dietrich, W.E., and Dunne, T., 1993, The channel head, in Beven, K., and Kirkby, M.J., eds., Channel Network Hydrology: John Wiley & Sons, New York, p. 175-219.

Du, C., 1996, An algorithm for automatic Delaunay triangulation of arbitrary planar domains: Advances in Engineering Software, v. 27, p. 21-26.

Freeman, T.G., 1991, Calculating catchment area with divergent flow based on a regular grid: Computers and Geosciences, v. 17, p. 413-422.

Gandoy-Bernasconi, W., and Palacios-Velez, O., 1990, Automatic cascade numbering of unit elements in distributed hydrological models: Journal of Hydrology, v. 112, p. 375-393.

Garrote, L., and Bras, R.L., 1995, A distributed model for real-time flood forecasting using digital elevation models: Journal of Hydrology, v. 167, p. 279-306.

Guibas, L., and Stolfi, J., 1985, Primitives for the manipulation of general subdivisions and the computation of Voronoi diagrams: ACM Transactions on Graphics, v. 4, no. 2, p. 74-123.

Howard, A.D., 1994, A detchment-limited model of drainage basin evolution: Water Resources Research, v. 30, p. 2261-2285.

Jenson, S.K., and Domingue, J.O., 1988, Extracting topographic structure from digital elevation data for geographic information system analysis: Photogrammetric Engineering and Remote Sensing, v. 54, p. 1593-1600.

Johnson, D.D., and Beaumont, C., 1995, Preliminary results from a planform kinematic model of orogen evolution, surface processes and the development of clastic foreland basin stratigraphy, in Dorobek, S.L., and Ross, G.M., eds., Stratigraphic Evolution of Foreland Basins, SEPM Special Publication 52, p. 3-24.

Jones, N.L., Wright, S.G., and Maidment, D.R., 1990, Watershed delineation with triangle-based terrain models: Journal of Hydraulic Engineering, v. 116, p. 1232-1251.

Julien, P.Y., Saghafian, B., and Ogden, F.L., 1995, Raster-based hydrologic modeling of spatially-varied surface runoff: Water Resources Bulletin, v. 31, no. 3, p. 523-536.

Knuth, D.E., 1992, Axioms and Hulls, Lecture notes in computer science, no. 606, New York, Springer-Verlag, 109 pp.

Kooi, H., and Beaumont, C., 1996, Large-scale geomorphology: classical concepts reconciled and integrated with contemporary ideas via a surface processes model: Journal of Geophysical Research, v. 101, no. B2, p. 3361-3386.

Laflen, J.M., Elliot, W.J., Flanagan, D.C., Meyer, C.R., and Nearing, M.A., 1997, WEPP-predicting water erosion using a process-based model: Journal of Soil and Water Conservation, v. 52, p. 96-102.

Lancaster, S.L., 1998, A nonlinear river meander model and its incorporation in a landscape evolution model, unpublished Ph.D. thesis, Massachusetts Institute of Technology.

Mackay, D.S., and Band, L.E., 1998, Extraction and representation of nested catchment areas from digital elevation models in lake-dominated topography: Water Resources Research, v. 34, p. 897-901.

Mitas, L., and Mitasova, H., 1998, Distributed soil erosion simulation for effective erosion prevention: Water Resources Research, v. 34, p. 505-516.

Miyamoto, H., and Sasaki, S., 1997, Simulating lava flows by an improved cellular automata method: Computers and Geosciences, v. 23, p. 283-292.

Montgomery, D.R., and Dietrich, W.E., 1989, Source areas, drainage density, and channel initiation: Water Resources Research, v. 25, no. 8, p. 1907-1918.

Montgomery, D.R., and Dietrich, W.E., 1994, A physically-based model for the topographic control on shallow landsliding: Water Resources Research, v. 30, no. 4, p. 1153-1171.

Moore, I.D., O'Loughlin, E.M., and Burch, G.J., 1988, A contour-based topographic model for hydrological and ecological applications: Earth Surface Processes and Landforms, v. 13, p. 305-320.

Nelson, E.J., Jones, N.L., and Miller, A.W., 1994, Algorithm for precise drainage-basin delineation: Journal of Hydraulic Engineering, v. 120, p. 298-312.

Palacios-Velez, O.L., and Cuevas-Renaud, B., 1986, Automated river-course, ridge and basin delineation from digital elevation data: Journal of Hydrology, v. 86, p. 299-314.

Quinn, P., Beven, K.J., Chevallier, P., Planchon, O., 1991, The prediction of hillslope flow paths for distributed hydrological modeling using digital terrain models: Hydrological Processes, v. 5, p. 59-80.

Sambridge, M., Braun, J., and McQueen, H, 1995, Geophysical parameterization and interpolation of irregular data using natural neighbors: Geophysical Journal International, v. 122, p. 837-857.

Slingerland, R.L., Harbaugh, J.W., and Furlong, K.P., 1993, Simulating Clastic Sedimentary Basins: New York, Prentice-Hall, 220 pp.

Sloan, S.W., 1987, A fast algorithm for constructing Delaunay triangulations in the plane: Advances in Engineering Software, v. 9, no. 1, p. 34-55.

Sugihara, K., and Iri, M., 1994, A robust topology-oriented incremental algorithm for Voronoi diagrams: International Journal of Computational Geometry and Applications, v. 4, no. 2, p. 179-228.

Tarboton, D.G., 1997, A new method for the determination of flow directions and contributing areas in grid digital elevation models: Water Resources Research, v. 33, no. 2, p. 309-319.

Tucker, G.E., and Bras, R.L., 1998, Hillslope processes, drainage density, and landscape morphology: Water Resources Research, v. 34, p. 2751-2764.

Tucker, G.E., Gasparini, N.M, Lancaster, S.L., and Bras, R.L., 1997, An integrated hillslope and channel evolution model as an investigation and prediction tool, Technical report prepared for U.S. Army Corps of Engineers.

Tucker, G.E., and Slingerland, R.L., 1994, Erosional dynamics, flexural isostasy, and long-lived escarpments: a numerical modeling study: Journal of Geophysical Research, v. 99, p. 12,229-12,243.

Tucker, G.E., and Slingerland, R.L., 1996, Predicting sediment flux from fold and thrust belts: Basin Research, v. 8, p. 329-349.

Tucker, G.E., and Slingerland, R.L., 1997, Drainage basin response to climate change: Water Resources Research, v. 33, no. 8, p. 2031-2047.

Watson, D.F., and Philip, G.M., 1984, Systematic triangulations: Computer Vision, Graphics, and Image Processing, v. 26, p. 217-223.

Willgoose, G.R., Bras, R.L., and Rodriguez-Iturbe, I., 1991, A physically based coupled network growth and hillslope evolution model, 1, theory: Water Resources Research, v. 27, p. 1671-1684.

Tables

Figures

Figure 1: Illustration of the dual-edge data structure, showing triangular lattice (black) and corresponding Voronoi diagram (gray). (a) Directed edge AB (black arrow), its counterclockwise neighbor AC (gray arrow), and its right-hand Voronoi vertex a. (b) Directed edge BA (black arrow), its counterclockwise neighbor BD (gray arrow), and its right-hand Voronoi vertex b.

Figure 2: Isometric view of a simulated catchment, showing irregular mesh.

Figure 3: Pseudo-code summary of the DualEdge data structure, showing the data members belonging to Node, DirectedEdge, and Triangle objects.

Figure 4: Sample mesh consisting of 7 nodes, 6 triangles, and 24 directed edges. Capital letters indicate nodes, numbers T1 etc denote triangles, and small letters indicate directed edges. Half-arrows pointing toward the destination node indicate the orientation of the directed edges.

Figure 5: Illustration of numbering of triangle nodes, adjacent triangles, and clockwise edges in Triangle data objects.

Figure 6: Illustration of steepest-descent flow routing in TIN framework.

Figure 7: Example of lake formation in the CHILD model. The green asterisks denote lake nodes. The lake has formed in response to a "digital dam" that was created by artificially raising the elevation of nodes near the catchment outlet. The lake outlet is indicated by the thick blue line at the right-hand edge.

Figure 8: Illustration of mass flux across the Voronoi polygon face between two adjacent nodes. Mass flux per unit contour width is calculated based on the gradient between A and B, and total flux is obtained by multiplying by the width of the shared Voronoi polygon edge.

Figure 9: Numerical solution to hillslope diffusion equation (eq 4) on a 5000-triangle TIN (inset), compared with an analytical solution. TIN represents a rectangular domain with two fixed boundaries. Open circules show nodes in the TIN viewed from the side. Solid line shows analytical solution in 1D. (Circles along x-axis are boundary points).

Figure 10: Numerical solution to simplified 2D groundwater flow equation (eq 5, substituting surface gradient for water surface gradient) on a straight hillslope (inset), compared with a 1D analytical solution. Symbols show nodes in the TIN viewed from the side. Solid line shows analytical solution in 1D.

Figure 11: Example landscape evolution simulation using the CHILD model.

Figure 12: Contour plot showing simulated depth to water table under constant recharge, Forsyth Creek catchment, Fort Riley, Kansas, using the TRIBS model. Darker colors correspond to shallower water table. Inset shows catchment topography represented by TIN mesh.

Figure 13: Simulation of 3D floodplain development by lateral stream migration (meandering). An adaptive meshing strategy is used to dynamically move, add, and delete points in response to lateral movement along the main channel. (a) Contour map of simulation. (b) Triangulation, showing densification of mesh in response to stream migration. Straight channel segments are artifacts of low mesh resolution outside of the meander belt.

Appendix A: Pseudo-code for Lake Fill algorithm

The Lake Fill algorithm uses a flag to indicate whether a node is a normal self-draining node (Unflooded), a pit for which an outlet has yet to be resolved (Pit), a flooded node that is part of the "lake" currently being computed (CurrentLake), or a flooded node that is part of a lake identified on a previous pass (Flooded). The algorithm assumes that initially all nodes have already been flagged as either Unflooded or Pit by the drainage direction finding routine.
FOR each node pitNode flagged as a pit DO
Place pitNode on "lake list" (list of flooded nodes) as 1st item
foundOutlet := FALSE
DO
// Start by finding the lowest node on the perimeter of the lake
lowestNode := first node on lake list
lowestElev := arbitrarily large number
FOR each node curnode on lake list DO
FOR each neighboring node nbr DO
IF nbr not flooded & not a closed boundary THEN
IF nbr lower than lowestElev THEN
lowestNode := nbr
lowestElev := nbr's elevation
ENDIF
ELSE IF nbr is flagged as a Pit or a Flooded node THEN
Add nbr to lake list and flag it as CurrentLake
ENDIF
ENDFOR
ENDFOR
// Check to see whether the lowest node is a valid outlet
IF lowestNode is an open boundary THEN foundOutlet := TRUE
ELSE
IF lowestNode has a neighbor that is (a) lower than itself, (b) is not flagged as CurrentLake, (c) is not a closed boundary, and (d) is not part of a previous lake that has an outlet higher than lowestNode, THEN
lowestNode is the outlet --- set its drainage path accordingly
foundOutlet := TRUE
ELSE
Add lowestNode to the lake list and flag it as CurrentLake
ENDIF
ENDIF
WHILE NOT foundOutlet
// Resolve drainage directions for lake nodes by (a) finding the shortest
// path to the outlet for each or (b) pointing each directly toward the outlet.
// A lake ID number can also be assigned to each node for further handling
// (e.g., application of a lake-routing model)
ENDFOR

Appendix B: Algorithm for resolving flow directions within a closed depression

The algorithm shown below resolves drainage directions within a closed depression after an outlet point has been identified. The algorithm attempts to find the shortest path toward the outlet by iteratively scanning the neighbors of each node. A node is assigned to flow toward the closest of any neighbors whose drainage has already been resolved. The process continues until a drainage direction has been assigned to every node. The net effect of this procedure is that drainage is resolved sequentially in an "upstream" direction, starting from the depression's outlet.
Flag outlet node as OutletFound
REPEAT
done := TRUE // (assume done until proven otherwise)
FOR each node on lake list DO
IF node isn't flagged OutletFound, look at its neighbors:
done := FALSE
minDist := arbitrarily large number
FOR each neighboring node nbr DO
IF nbr flagged as OutletFound
dist := nbr.distToOutlet + dist from node to nbr
IF dist < minDist DO
minDist := dist
Assign node to flow toward nbr
ENDIF
Flag node as TentativeOutletFound
ENDIF
ENDFOR
ENDIF
ENDFOR
FOR each node on lake list DO
IF node flagged as TentativeOutletFound, flag it OutletFound
ENDFOR
UNTIL done