The Use of GIS as a Decision Support Tool for Evaluating Fragmentation
by Roads
Carola Stauch
Institute for Landscape Planning and Ecology, Stuttgart University,
Keplerstr. 11, 70174 Stuttgart, Germany
Email: Carola.Stauch@ilpoe.uni-stuttgart.de
1. Introduction
Traffic has increased dramatically in the last decade, traffic induced
by heavy goods vehicles by 54 percent since 1980 and traffic induced by
personal motor vehicles by 46 percent since 1985 (EUA, 1998). Even though
technology is able to reduce more and more pollution by air and noise,
the ecological problems such as fragmentation by roads still remain.
Regional planning processes are aiming for environmentally beneficial
mobility. Planning is a decision support process in which almost every
step within a planning process contains an evaluative part, so that there
has to be a comprehensible scale for evaluating these data. Regionalized
ecological guidelines should be set up in order to serve as a scale.
ATKIS, the federal topographic-cartographic information system of Germany,
is used to establish an evaluation scheme for the impact of road construction
which takes the different priorities into account. The study area,
the Region of Stuttgart in Southern Germany, can be subdivided into categories
of different types of urbanization, which can be automatically derived.
It is shown at the example of two different guidelines how the evaluation
of roads can differ depending on the urbanization category.
2. Spatial Decision Support and Planning
"Planning and management are based on a generic problem solving process
which begins with problem definition and description, involves various
forms of analysis which might include simulation and modelling, moves to
prediction and thence to prescription or design which often involves the
evaluation of alternative solutions to the problem" (Batty, 1996). One
type of uncertainty which is typically involved in such planning problems
is the formulation of goals and their relative weights (Arentze et al.,
1996; Densham, 1991). The decision between one site or the other is not
only a scientific question anymore but depends on values of the society,
ecological, moral or political concepts, etc.
Taking the impact analysis of roads as a planning example, there are
several types of analysis imaginable. This could be
-
The impact of the construction of a new road in a region.
Analysis of several alternatives.
-
The impact of the existing road system in a region.
This is more complicated because the previous state has to be remodeled
in order to evaluate the impact.
-
Definition of a goal state and the establishment of measures to reach this
goal.
A measure could be destructing streets and recovering the original
state.
Roads act as a disturbance source and produce fragmentation. Fragmentation
is a detachment or separation of spatially connected landscape elements
into spatially segmented tracts. Causes of fragmentation are disturbances
defined as "an event that causes a significant change from the normal pattern
in an ecological system" (Forman, 1986), which can be a single or a chronic
event, a natural or anthropogenic disturbance. Fragmentation can be divisive
cutting a landscape element in halves by a disturbance corridor. Roads
can be regarded as chronic, anthropogenic disturbance source for divisive
fragmentation (Bell, 1995).
There exist three dimensions which influence the result of an evaluation
of divisive fragmentation. These are (1) the ecological goal or guidelines
which determine the selection of the criteria and the evaluation, (2) the
set of alternatives if a new site is planned/the evaluation only of the
existing site/the set of measures if an existing site is evaluated and
finally (3) the different multicriteria evaluation techniques.
The following shows how the impact analysis of a new road can be approached.
After identifying several levels of spatial units in a hierarchy, the top
level is further elucidated. It is proposed to distinguish between the
evaluation of differently urbanized areas. It is shown how the urbanization
category can be automatically derived. An example demonstrates how these
categories influence the evaluation.
3. Structural Approach
"Management and planning for sustainability at an intermediate scale, the
landscape or region, appears optimum" (Forman, 1997, p. 488). Therefore,
a scale of 1:25.000 to 1:50.000 was chosen. The evaluation of divisive
fragmentation is done in a hierarchical process (Stauch, 1998). A top-down
approach distinguishes two main levels. The type level determines
the threshold values for the ecological guidelines of the planning process
and therefore serves as the evaluation scale (Fig. 1). The spatial unit
is the landscape which in this case is defined as the Natural Region. There
exist 12 Natural Regions within the study area, the Region of Stuttgart,
which is an administrative unit of 3600 km². The Natural Regions were
delimited by such features as geology, geomorphology, climate, biotopes
(Meynen & Schmithüsen, 1953). The type level describes the landscape;
threshold values are set up for ecological guidelines which have to be
met. These guidelines can comprise ecological targets and standards of
a region, which can range from legal pollution levels to the restoration
of natural shores of the rivers. It is important, that they are expressed
as explicit as possible, in order to elucidate the decision process.
At the object level the impacts of roads are measured. The object level
can be subdivided into sublevels: at object level I the impact of the road
on the catchment area is described, at object level II the impact of the
road on the immediate surrounding is specified. At this level the spatial
unit is the road which is an aggregation of road sections (Fig. 1). The
catchment areas of the road in question (object level I) are investigated
by determining for example the crossing of rivers by roads or the parallel
running of roads within a critical distance. The road (object level II)
can be evaluated for example by the area in which certain pollution levels
are exceeded. The remaining paper focusses on the type level.
Figure 1: Hierarchical Process of Criteria Selection
4. Type Level: Establishment of Ecological Guidelines
Conservation of resources without goals cannot be successful in the long
run. Goals are needed as a measure for every assessment or analysis.
They have an integral approach and consist of objectives of many sciences,
and provide concrete ideas. A goal is a conglomerate of a historical analysis,
the capture of the present state and aims of the society, discussion between
experts, users and representatives of specific groups. Part of a goal should
be ecological guidelines, such as the general demand of sustainable mobility,
as well as concrete standards such as pollution levels. Environmental quality
objectives, ecological goal functions, etc., are indispensible elements
for every evaluation procedure (Wiegleb, 1997). The ecological guideline
is dependent on the priorities for nature conservation for this region.
Strategies and aims of nature protection are often transferred from
the open space onto urban area (Breuste, 1994). But nature in open space
and urban nature have to be subdivided because they follow differing goals.
Therefore a categorization of the Natural Regions is carried out into urban,
suburban and rural. Later the evaluation priorities have to differ between
these three categories. For example a parc area in a metropolitan area
has a much higher priority than a parc area in a rural setting.
The remaining paper will show how this categorization can be derived
by using GIS. Then rules are developed to satisfy two ecological guidelines,
which are
-
the distributional pattern of landscape
There exists a typical pattern of landscape for every region (which
means the distribution of agriculture, forest, horticulture, etc.). This
pattern which is typical for the specific area should be conserved. This
should be at least the protection of the current state but could also include
guidelines which land use/cover should be expanded (e.g. taking a historical
pattern as a measure).
-
the protection of large unfragmented spatial areas
One main problem concerning the conservation of animal populations
is that for many animals the habitat is getting too small, because of increasing
fragmentation. This means that large unfragmented areas have to have a
special protection and have to be enlarged if possible (Waterstraat, 1996).
Figure 2: Type Level
It is suggested to apply these rules depending on the type of landscape,
i.e. a more urbanized or more rural landscape. The division of regions
into different categories with regard to their urbanization is necessary
because the ecological guidelines of an urban area have to differ from
the guidelines of a suburban or rural area. When taking the ecological
guideline "preservation of the typical landscape pattern" in an urban area
there are typically other functions to preserve (e.g. recovery zones) as
in a rural area (e.g. biotope for specific species). Similarly for the
ecological guideline "saving large unfragmented areas" there exist different
threshold values for the three categories. In all three categories it is
important to save large connected areas; in urban regions they serve as
recovery zones, in rural areas they save the existence of species. Methods
to derive urbanization categories will be explained in more detail in the
next chapter.
4.1 Categorization of the Natural Regions
An area can be roughly subdivided into three categories, urban, suburban
and rural. Suburbanization is defined as the transfer of uses and population
from the city, the rural area and other metropolitan areas into the urban
surrounding. At the same time the uses and population of the whole area
of the metropolitan area will be re-organized (Friedrichs, 1995). The town
in its administrative boundaries is called central city, the adjacent area
is called suburban zone, followed by communities which area called exurbs.
The terms agglomeration, conurbation, metropolitan area are used for the
area of central city and suburban zone. The separation of the suburban
zone is usually done by the number of commuters. The analysis of suburbanisation
serves to force cities and communities to a common planning, for example
to reject unregular development, uneven burden on central city and suburban
zone as well as the spatial segregation of types of households and their
consequences. An additional consequence of suburbanisation is the strongly
increasing traffic (Friedrichs, 1995).
Two methodologies will be introduced on how these categories urban -
suburban - rural can be attained. For the first and easier possibility
there has to exist a digital landscape model which in this case is represented
by ATKIS, the federal topographic-cartographic information system of Germany
(Kophstahl and Sellge, 1995). The second possibility needs digital
road network data as a database.
Database: A Digital Landscape Model
If a digital landscape model is available as a database, then the classification
of a region into urban, suburban and rural can be simply calculated by
capturing the distribution of land cover/use. The percentual distribution
of the built-up area gives information on the urbanization of a region.
A digital landscape model classifies the land use and function. In order
to obtain a digital landscape model there exist several possibilities such
as digitizing maps (topographic, cadastral, thematic maps) or deriving
the classes by remote sensing. An example for a digital landscape model
is ATKIS which consists of an object-structured object class catalogue.
The catalogue comprises six object domains (Fig. 3). Each object domain
is composed of one or more object groups which in turn consist of individual
oject classes. For example object domain "Settlement" possesses three object
groups ("built-up areas", "open space" and "buildings and other constructions"),
the object group built-up area consists of the object class 2101 city,
2111 living area, 2112 industrial area, etc.. Object classes can have attributes
as shown in Fig. 3.
Figure 3: Construction of the ATKIS - Object Class Catalogue
In order to calculate the percentual distribution of the individual
object classes from ATKIS, one has to make sure that one polygon represents
only one object class. Especially when looking at object domain 2000 (settlement)
this is often not the case. A polygon area can be within the city (class
2101), is a power plant (2126) in an area defined as industrial area (2112).
In this case the polygon got the class 2101. For this application the structure
of the city is not important, it is enough to know that it is a city. Several
rules were put up, to deal with multiple naming of one polygon. These rules
are of course dependent upon the objective of the analysis, which in this
case is a rough categorization of the Natural Regions into three categories.
Other examples for multiply-named polygons are
-
An artificial lake (object class 5101) is also named an industrial area
(2112) because of gravel mining (new exclusive class: 5101)
-
A parc area (2227) is also classified as copse (4108)(new exclusive class:
2227)
-
A forest (4107) can be on an island (7211)(new exclusive class: 4107)
-
A railway station (3501) can include some trees and hedgerows (4108) or
a parc area (2227)(new exclusive class: 3501)
-
...
For the Region of Stuttgart (218,825 polygons) there were 25.1 % multiply-named
polygons. For 97.9% of the multiply-named polygon applied the case that
they were characterized as city area (class 2101) in addition to other
classes. These polygons were classified as city area. 0.32% of the multiply-named
polygons possessed one class of the object group 5100 (water area) which
was considered dominant and 1.8% of the multiply-named polygons were other
cases (sometimes also mistakes were found, e.g. an area was classified
as a field and greenland at the same time).
For categorizing the Natural Regions the proportion of the sum of the
area of all object classes within the object group 2100 from the total
area of the Natural Region was calculated (Tab. 1). When looking at the
distribution of object class 2100 in table 1, one can see several
breaks (Examples for the three categories are shown in figure 4):
IF Object Class 2100 > 50 %, THEN URBAN
IF Object Class 2100 < 10 %, THEN RURAL
IF Object Class 2100 > 10% and < 50%, THEN SUBURBAN
|
ID=
124 |
ID=
96 |
ID=
108 |
ID=
94 |
ID=
102 |
ID=
107 |
ID=
104 |
ID=
122 |
ID=
101 |
ID=
123 |
ID=
106 |
ID=
105 |
| Object group 2100 * |
2.57 |
3.76 |
4.32 |
5.31 |
7.21 |
8.57 |
8.53 |
15.52 |
16.47 |
18.17 |
30.51 |
54.71 |
| Category |
RURAL |
SUBURBAN |
URBAN |
Table 1: The Distribution of Object Class 2101 in
the Region of Stuttgart
* Percentage of the area of object group 2100 at the whole area of
the Natural Region
For the Natural Region 106 with a percentage of 30.51 one can say,
that it has a tendency towards urbanity, whereas Natural Regions with a
percentage between 10 % and 15 % would have a tendency toward a rural area
(no case included in the study area).
Figure 4: Examples for the three different categories
Database: Digital Road Network Data
Another possibility to obtain the categories urban - suburban - rural is
to establish unfragmented areas of similar sizes with digital road network
data. In this case ATKIS was used again, but there are other digital road
network data like GDF (Geographic Data File) which could be used.
(see e.g. Heres and Wood, 1992)
Since this application is done on a regional scale, all roads which
were smaller than a community road were deleted. Then the road network
was used to build a polygon topology. Afterwards the area sizes of the
polygons were classified into eight classes with class 1 being the smallest
( < 1 km²) and class 8 being the biggest (> 8 km²). The classes
were subdivided by steps of 1 km² .
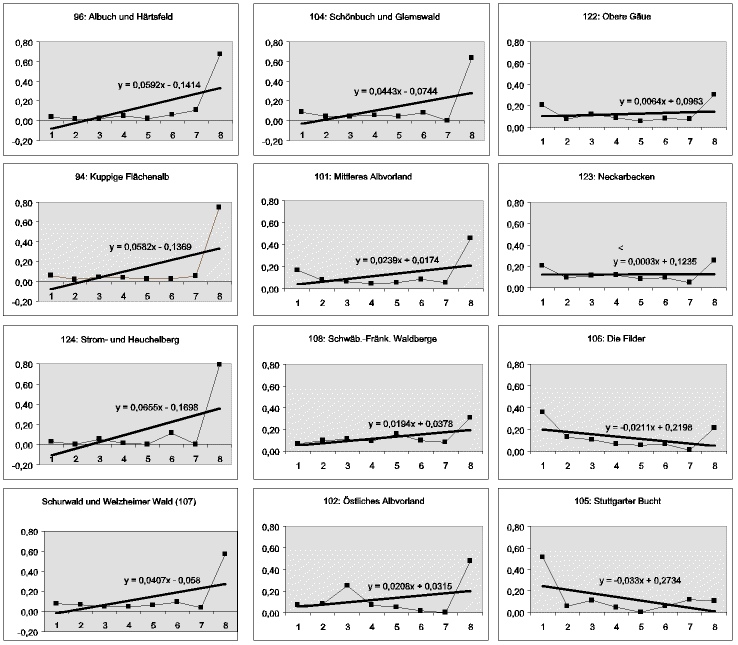
With the classes at the x-axis and the relative frequency at the y-axis,
graphs were established for all Natural Regions within the Region of Stuttgart
(Fig. 5). Three characteristic types of graph could be distinguished: the
urban category has a peak at class one (ID 105 in Fig. 5), the rural category
at class 8 (e.g. ID 104) and the suburban category is characterized by
small peaks at class one and class 8 (e.g. ID 122).
For assigning an urbanization category to the Natural Region, the following
methods were tested:
-
A regression line was applied to the graphs (Fig. 5)
The slope of the regression line was used for categorization. A positive
slope means a rural category, a negative slope shows an urban category
and more or less no slope (slope = 0) means a suburban category (Tab. 2).
The difference between Natural Region 106 and 105 is not distinguished
very strongly. Without having more examples for urban areas, one cannot
be certain that there is a break between these two regions.
-
A sum of slopes was calculated for each Natural Region by adding up the
slopes between the classes (Tab. 2).
As in the first method a positive sum of slope represents a rural category,
a sum of slope close to 0 suggests a suburban category, a negative slope
is an urban category. In contrast to the slope of the regression line the
difference between the sum of slopes for 106 and 105 is much higher.
These two methods are very similar but the sum of slopes produces
a clearer result than the regression equation. The latter shows the central
tendency whereas the sum of slopes shows the difference between class 1
and class 8. Natural Region 102 was categorized differently for the
two methods. This can be explained by the peak at class 3 (Fig. 5). This
peak is taken into account by the regression line but not by the sum of
slopes .
Figure 5: Distribution of unfragmented areas for the 12 Natural Regions
of the Region of Stuttgart.
Class 1: < km², Class 2: 1 - 2 km², Class 3: 2 - 3 km²,
Class 4: 3 - 4 km²,
Class 5: 4 - 5 km², Class 6: 5 - 6 km², Class 7: 6 - 7 km²,
Class 8: > 8 km².
| ID |
Regression Equation |
Category |
Sum of Slopes |
Category |
| 124 |
y=0.0655 x - 0.1698 |
Rural |
0.764 |
Rural |
| 96 |
y=0.0592x - 0.1414 |
Rural |
0.633 |
Rural |
| 94 |
y=0.0582x - 0.1369 |
Rural |
0.685 |
Rural |
| 104 |
y=0.0443x - 0.0744 |
Rural |
0.546 |
Rural |
| 107 |
y=0.0407x - 0.058 |
Rural |
0.488 |
Rural |
| 101 |
y=0.0239x + 0.0174 |
Suburban w. Tendency Rural |
0.294 |
Suburban w. Tendency Rural |
| 102 |
y=0.0208x + 0.0315 |
Suburban w. Tendency Rural |
0.409 |
Rural |
| 108 |
y=0.0194x + 0.0378 |
Suburban w. Tendency Rural |
0.245 |
Suburban w. Tendency Rural |
| 122 |
y=0.0064x + 0.0963 |
Suburban |
0.095 |
Suburban |
| 123 |
y=0.0003x + 0.1235 |
Suburban |
0.052 |
Suburban |
| 106 |
y=-0.0211x + 0.2198 |
Suburban w. Tendency Urban |
-0.148 |
Suburban w. Tendency Urban |
| 105 |
y=-0.033x + 0.2734 |
Urban |
-0.41 |
Urban |
Table 2: Derivation of the Urbanization Category
There exist three Natural Regions which have a transient function, i.e.
the regions 101, 108 and 106. The first two have a tendency to a rural
setting and the last has a tendency towards urbanity. These spatial
units should be treated as the next urbanisation category. That is, a suburban
area with a rural tendency should be treated as a suburban area and not
as a rural area and a suburban area with an urban tendency should be treated
as a urban area. It needs more samples to verify the categorization of
these units.
Discussion
When comparing the results of the two methods using different databases
for establishing a categorization of urbanity there can be seen differences.
The sequences within the categories, e.g. from most rural to least rural,
do not coincide. The reason is that object group 2100 (first method) represents
class 1 of the second method, but it doesn't give evidence about the biggest
class (class 8). Using digital road network data, on the contrary, depends
on the different frequency of the classes 1 to 8. This can be demonstrated
very well for Natural Region 108 (Fig. 6): this region belongs clearly
to the rural category at the first method, but looking at the second method
it is rather found in the suburban category (even though this is somewhat
ambiguous as was discussed in the previous section). It depends on the
further use of the categorization which method should be chosen.
In addition, it depends on the availability of the database. It is easier
to derive the categorization by using a digital landscape model. But this
information will often not be available. Digital road network data, in
the contrary, are gathered more frequently. GDF-data, for example, are
captured for almost all Europe.
Figure 6: Comparison of the two methods for categorization for ID 108
4.2 Establishment of a Ecological Guidelines
Once the landscapes are categorized, an evaluation scheme can be constructed
depending on the different categories. This evaluation scheme can be automatically
derived by using the digital landscape model of ATKIS. For the region of
Stuttgart rules for a goal could look like the following (the object classes
and, where necessary, the attributes of ATKIS are set in parentheses):
-
Ecological Guideline: "Saving large unfragmented areas"
In general, the larger an area the more protected is this area.
-
IF category in {urban, suburban - Tendency urban} and fragmentation
class = 8, THEN all areas within class 8 are protected.
-
IF category in {suburban, rural}, THEN the highest fragmentation class
is protected.
-
Ecological Guideline: "Saving the typical distribution of land use/cover"
-
The following areas are protected:
-
IF category in {urban, suburban} AND area = parc area (2227)
-
IF category in {urban, suburban, rural} AND
area in {extensive Fruit-growing area (4102 - VEG8000),
Heath (4104),
Moor (4105),
Wetland (4106)
Deciduous Forest or Mixed Forest (4107 -VEG{1000|3000})
Vineyard (4109-KLT3000)
-
Part of a typical pattern of a rural landscape consists of the distribution
of fields (4101) and greenland (4102).
Therefore, the dominant type (> 66%) should be protected. If both types
occur equally often, then the two of them should be protected.
-
IF category in {rural} AND
(Area(%){4101} * 100 / ( Area(%){4101+4102}) > 66% OR
(Area(%){4102} * 100 / ( Area(%){4101+4102}) > 66%, THEN
Object type {4101, 4102} protected
ELSE Object type {4101 + 4102} protected
5. Summary
Every evaluation either in planning or other sciences needs a scale, an
evaluation scheme, against which the impact of a construction is measured.
For the evaluation of streets on a regional scale a multi-level approach
is suggested reaching from the local level, the road, to the regional level,
the landscape. At this level, the type level, the evaluation scheme is
defined. It is proposed that the ecological guidelines are dependent on
the urbanization category of the landscape. For extracting this category
automatically from digital data, two approaches are discussed. The urbanization
category then determines the threshold values of the different ecological
guidelines, which can also be derived automatically. This was shown at
the example of two parts of an ecological goal, the protection of large
unfragmented areas and the protection of the landscape pattern of a region.
References
Arentze, T.A., A.W.J. Borgers and H.J.P. Timmermans: Design of a view-based
DSS for location planning. Int. J. GIS 1996 Vol. 10 (2) (1996) 219-236
Batty M. and P.J. Densham: Decision Support, GIS, and Urban Planning.
http://www.geog.ucl.ac.uk/~pdensham/s_t_paper.html (1996)
Bell, P.D.: Forest Fragmentation: Adverse Effects on old growth
forest Biodiversity. In: G. Blouin (ed.), Old Growth Forests. Canadian
Forestry Association (1995) 45-47.
Breuste, J.: Urbanisierung des Naturschutzgedankens. Naturschutz und
Landschaftsplanung 26 (6) (1994) 214-220.
Densham , P.J.: Spatial Decision Support Systems. in: Maguire, D.J.,
M.F. Goodchild, D.W. Rhind: Geographical Information Systems - Principles
and Applications. Longman Scientific & Technical: Essex (1991) 403-412.
EUA: Die Umwelt in Europa: Der Zweite Lagebericht. Europäische
Umweltagentur, Kopenhagen, 1998 (1998)
Forman, R.T.T.: Land Mosaics - the ecology of landscapes and regions.
University Press: Cambridge, UK. (1997)
Friedrichs, J.: Stadtsoziologie. Leske + Budrich: Opladen, Germany (1995)
Heres, L. und T.F. Wood: GDF, a Lingua Franca for Geographic Information.
In: EURONAV 92 - Digital Mapping and Navigation - The 1992 International
Conference of The Royal Institute of Navigation and The German Institute
of Navigation (DGON), London (1992)
Kophstahl, E. und H. Sellge: Das Geoinformationssystem ATKIS und seine
Nutzung in Wirtschaft und Verwaltung, Vorträge anläßlich
des 2. AdV-Symposiums ATKIS am 27. und 28. Juni 1995 in Hannover, Niedersächsisches
Landesvermessungsamt, Hannover (1995)
Meynen, E. and Schmithüsen, J.: Handbuch der naturräumlichen
Gliederung Deutschlands. Hrsg.: Bundesanstalt für Landeskunde und
Zentralausschuß für deutsche Landeskunde (1953)
Stauch, C.: Modeling the Ecological Effects of Traffic on a Regional
Scale using GIS, In: J. Breuste, H. Feldmann, O. Uhlmann (eds): Urban Ecology,
Proceedings of the International Conference "Urban Ecology" Leipzig 1997,
Springer: Berlin, Heidelberg, New York, in print (1998)
Waterstraat, A., H. Baier, R. Holz, H.-J. Spieß und J. Ulbricht:
Unzerschnittene, störungsarme Landschaftsräume - Versuch der
Beschreibung eines Schutzgutes. Schriftenreihe des Landesamtes für
Umwelt und Natur, Mecklenburg-Vorpommern (1996) 15-24.
Wiegleb, G.: Leitbildmethode und naturschutzfachliche Bewertung, Z.
Ökologie u. Naturschutz 6(1) (1997) 43-62